Mierle Laderman Ukeles, Maintenance Art, Manifesto and Questionnaire, 1976
Sold
7-Page questionnaire for Mierle Laderman Ukeles’ Maintenance Art Works, 1976. 8.5 x 11in.
4-Page manifesto for Mierle Laderman Ukeles’ Maintenance Art, copyright 1969. Xerox date unknown, likely from 1976. 8.5 x 11in.

Manifesto and Questionnaire for ‘Maintenance Art’

first page of questionnaire

close-up of question one on page 2 of questionnaire

cover-sheet to manifesto (with xeroxes of the original manifesto)

manifesto page #1

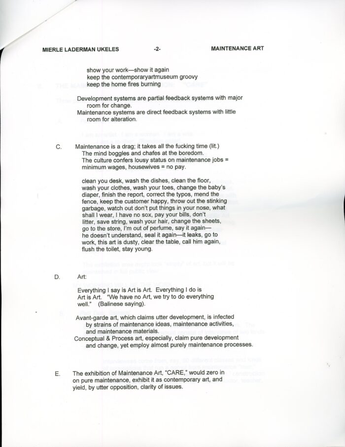
manifesto page #2

close-up of “II. The Maintenance Art Exhibition: Care” on page 3 of manifesto